Divergent decennial trends in mental health according to age reveal poorer mental health for young people: repeated cross-sectional population-based surveys from the HUNT Study, Norway
Selvrapporterte tall om psykisk helse fra 48-62 000 nordmenn i alderen 13-79 år, fra tre undersøkelser i 1990-, 2000- og 2010-årene.
Vinklinger
-
Psykisk helse: Økning i angst og depresjon blant ungdommer og unge voksne i Trøndelag, særlig fra midten av 2000-årene til slutten av 2010-årene.
Bakgrunn: Tall fra USA viser en forverring i ungdommers psykisk helse siden 2010, men en forbedring for eldre. Samme utvikling i flere andre land. Å finne årsaker til at enkeltpersoner har det vanskelig er et annet spørsmål enn å forklare endringer på gruppenivå. For grupper bør man se på endringer i underliggende faktorer, altså konteksten vi vokser opp, lever og arbeider i. I USA og Europa har nyliberalisme vært den dominerende ideologien siden 1980-årene, med store endringer i hvordan folk lever. Også en økende synlighet rundt klimaendringer, demokratitrusler og økonomisk og sosial urettferdighet, særlig for unge.
En viktig endring er innføring av uregulert informasjonsteknologi bygget opp rundt datainnsamlig i stor skala. Yuval Noah Harari og Shoshana Zuboff kaller det en ny form for kapitalisme. (Nja..) Også økende viktighet av ekkokamre i sosial interaksjon. (Njei - har vært vanskelig å finne disse i praksis..) Det har blitt vanlig for unge å ta selfies og tenke mer på hvordan de fremstår offentlighet. Sosiale medier tok av etter 2010.
HUNT-studien i Norge viser sammenheng mellom antall timer skjermtid og økt angst og depresjon, særlig blant jenter på sosiale medier. Redusert interaksjon ansikt til ansikt kan også være en faktor. Man blir mer avhengig av bekreftelse online, men dette behovet dekkes ikke, og man blir mer ensom. Sosiale medier og gaming kan også ha en negativ effekt via redusert søvn. Økende akademiske forventninger til unge kan også bidra.
Hellevik & Hellevik, 2021: Klar reduksjon i unges lykke og tilfredshet de siste ti årene, særlig pga av økte bekymringer for fremtiden, for eksempel jobbmuligheter og egen økonomi.
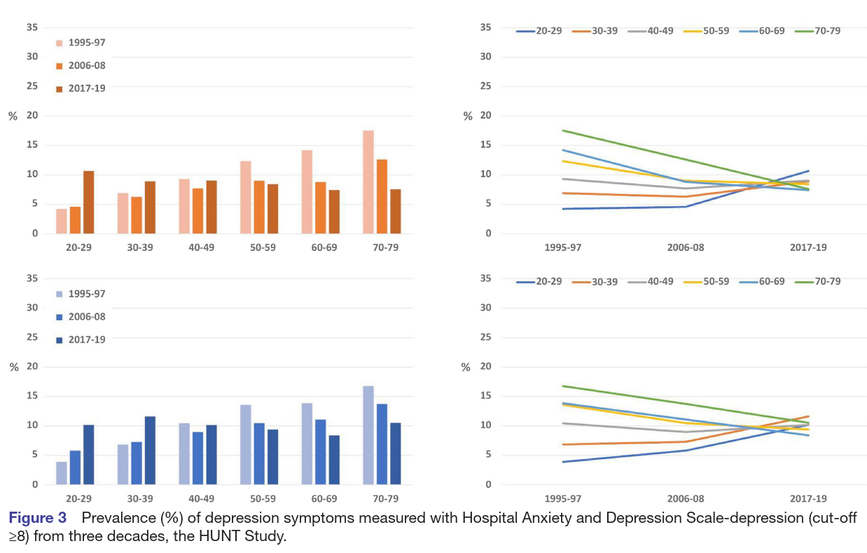
HUNT gjennomført i Trøndelag i 1995-1997, 2006-2008 og 2017-2019 blant ca 8-9 tusen i alderen 13-19 år og 48-62 tusen over 20. Resultatene fra unge vurdert opp mot Hopkins Symptom Checklist 5, en sjekkliste for symptomer på angst og depresjon. For voksne, vurdert opp mot Hospital Anxiety and Depression Scale.
Andel unge 13-19 med angst og depresjon doblet seg fra 1995-1997 til 2017-2019, fra 15.3% til 29.8%. For voksne sank depresjon fra 9.4% til 6.7% i samme periode, og angst økte fra 12.4% til 13.4%.
Økningen for unge kom primært fra jenter: Fra 21.1% til 44.4%. Gutter økte bare fra 10.2% til 16.5%. Det meste av økningen skjedde i perioden fra 2006-2008 til 2017-2019.
Også unge voksne, særlig unge kvinner, hadde en økning i både angst og depresjon i den siste perioden.


Handler dette om økt oppmerksomhet om psykiske plager og vilje til å snakke om dette? At to ulike verktøy (HSCL-5 og HADS) her viser samme trend, og vi også vet at det er en økning behandling av unge og bruk av relaterte medisiner, og det finnes lignende tall fra blant annet USA, tyder på at det vi ser er en reell endring i unges psykiske helse.
Mulige årsaker til en slik endring: Økt bekymring for klimaendringer, sosial urettferdighet, trusler mot demokrati, negative konsekvenser av moderne teknologi, økt akademisk press, økt knytning mellom selvbilde og skoleprestasjoner.
Økt teknologibruk også en viktig endring i vestlige samfunn i denne perioden. Teknologibransjen manipulerer og utnytter brukere. Noen blir avhengige. For sosiale medier drives avhengigheten av en kombinasjon av frykten for å gå glipp av noe å den umiddelbare belønningen når man poster noe. De som bruker sosiale medier mye er mer deprimerte, kanskje knyttet til mindre søvn blant tenåringer.
Kritikere av denne hypotesen peker på at effekten av dette er vanskelig å avdekke på individnivå. Ref Coyne 2020. Dvs svak kobling mellom bruk av sosiale medier og psykiske plager når man følger enkeltpersoner over tid. Men det kan likevel være snakk om en effekt på gruppenivå. En endring som påvirker alle, uavhengig av antall timer en selv bruker på sosiale medier. Tjenestene er nærmest obligatoriske, slik at ikke-brukere blir isolerte eller tvinges til å begynne. Sosiale normer beveger seg bort fra personlig interaksjon, slik at selv de som ønsker dette finner det vanskeligere. Nettverkseffekten er viktig for å forstå sosiale medier, ikke bare individuell bruk. Må studeres i en politisk, historisk og kulturell kontekst.
(Spennende idé! Og svært spekulativ, vanskelig å underbygge.)
Det er god grunn til å vurdere politiske tiltak for å beskytte ungdom og unge voksne mot økende mental uro. Forsøke å styrke tro på framtiden, redusere press og stress mot unge. Også viktig å regulere teknologibransjen mer. Relevante tiltak kan ære aldersgrenser for sosiale medier og online-spill, holde dem ansvarlig for innhold, begrense bruk av avhengighetsdannende design, og viktigst av alt gjøre noe med forretningsmodellen som legger til rette for avhengighet og utnyttelse av brukere.